当客户要求稳压器BOM中的所有器件(包括控制器、功率级和磁元件)都有多个供应来源时,统一封装策略能够满足要求。然而,ADI公司并未参与价格战,而是开发了耦合电感IP来显著提升系统性能,从而为客户提供更高的系统价值。
数据中心、人工智能(AI)和通信领域的许多应用使用输入电压为12 V的多相降压稳压器。图1(a)显示了常规8相降压转换器,其中分立电感(DL)排成一行,间距为业界典型的8.3 mm/相。图1(b)显示了采用相同布局的替代解决方案,其中分立磁元件被替换为两个4相耦合电感(CL)。
需要思考的是,客户为什么会选择这个替代方案?而ADI开发这套独特解决方案背后的动机又是什么,仅仅是为了与众不同吗?答案是CL的品质因数(FOM)显著增加,可以根据客户的不同优先级进行调整。统一封装(CF)策略意味着所有器件的占用空间都相同。所以,当解决方案尺寸相同时,优化的重点将放在提高效率上。
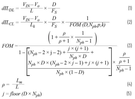
对于DL和CL,应考虑它们的基本原理和主要区别。常规降压转换器各相的电流纹波可由公式1求出,其中占空比为D = VO/VIN,VO为输出电压,VIN为输入电压,L为电感值,Fs为开关频率。

图1 8相降压稳压器,间距为8.3 mm/相,带有(a)分立电感和(b)两个4相耦合电感。
或者,漏感为Lk且互感为Lm的耦合电感中的电流纹波可表示为公式2。1 FOM用公式3表示,其中Nph为耦合相数,ρ为耦合系数(公式4),j为运行指数,定义了占空比的适用区间(公式5)。
通过比较公式1和公式2可知,FOM是主要区分因素,展现了CL在电流纹波消除方面要优于DL。FOM的值取决于多个因素,而在CL中,FOM值通常可以很大,意味着性能大幅提升。不过,单靠FOM优势本身,并不能保证很大的性能差异。系统必须根据所需的优先级,有意识地利用增加的FOM所带来的优势。

从VIN = 12 V至VO = 1 V参考设计开始,其中DL = 100 nH提供了基线性能,针对耦合系数Lm/Lk的几个实际合理的值,绘制了Nph = 4构建模块的CL FOM,如图2所示。红色曲线Lm/Lk = 0表示分立电感的FOM = 1基线。这里的目标是保持相同的瞬态性能和相同的输出电容槽Co,因此为CL泄漏选择了相同的100 nH值。如文章“解决耦合电感中的磁芯损耗问题”2和视频“耦合电感的基础知识和优势”1所示,并且在图2中可以清楚看到,理想情况下,Lm值应尽可能高,使耦合系数最大化(公式4),从而增加FOM。在给定尺寸(h = 12 mm,相位间距8.3 mm/ph)下,合理的Lm = 260 nH可通过极其保守的Isat = 25 A实现,这与允许的相位间电流不平衡有关。请注意,CL的负载能力由Lk的Isat定义,在该CL设计中,Isat为每相>100 A(105°C时),超过DL Isat额定值。
12 V至1 V应用对应的占空比范围约为D~0.083。对于保守的Lm/Lk = 2.6,图2中的FOM > 2.5,表明CL中的Fs可轻松降低二分之一,以保持较低的电流纹波。由于与开关频率成比例的几种损耗将降低,因此这应该能显著提高效率。
增加Lm通常有利于减少电流纹波,但图3表明Lm = 260 nH能够实现大部分电流纹波消除的好处,且不会出现回报递减的情况(回报递减是指进一步增加Lm带来的改善非常有限)。

图2.针对一些不同Lm/Lk值,4相CL的FOM与占空比D的函数关系。突出显示了目标区域。

图3.VIN = 12 V、VO = 1 V且Fs = 800 kHz条件下,DL = 100 nH和CL = 4× 100 nH时的电流纹波与Lm的函数关系。

图4.VIN = 12 V条件下,DL = 100 nH (800 kHz)和CL = 4× 100 nH (800 kHz, 400 kHz)时的电流纹波与VO的函数关系。
图4绘制了相应的电流纹波,比较了VIN = 12 V和Fs = 800 kHz条件下的基线设计DL = 100 nH与建议的四相CL = 4× 100 nH (Lm = 260 nH)。显然,CL解决方案可以在Fs = 400 kHz时而不是800 kHz时运行,并且与800 kHz条件下的DL = 100 nH相比,仍具有较小的电流纹波。峰峰值纹波较小,意味着所有电路波形的均方根值也会较小,包含传导损耗。主要的效率提升将来自于Fs减少二分之一,意味着开关损耗、FET体二极管的死区时间损耗、反向恢复、栅极驱动损耗等将大幅减少。请注意,最显著的效率改进将出现在轻载条件下,此时交流损耗更为明显。然而,一些损耗(例如开关转换过程中的电压和电流重叠)与负载电流成比例,因此效率提升在满载时也将显而易见。
开发的4× 100 nH耦合电感如图5所示。请注意,引脚布置符合DL占用空间要求,兼容多个来源和替代方案。

图5.开发的CL = 4× 100 nH,33.5 mm × 10 mm × 12 mm。
四相降压转换器的瞬态性能如图6所示,比较了8相DL = 100 nH (600 kHz)和2× CL = 4× 100 nH (400 kHz)的波形。正如预期的那样,相同的电流摆率和相同的输出电容导致瞬态性能相似。由于一个相位的占空比瞬态变化会导致所有相位电流同时变化,因此耦合相位能够有效增加反馈环路的相位裕量,再加上多相拓扑,能够缓解因CL开关频率降低而造成的潜在反馈带宽降低。
图7显示了不同开关频率下的相应效率比较,其中虚线表示DL,实线表示CL。在高开关频率下,CL和DL的电流纹波都不显著,因此效率相似。但由于CL具有明显的电流纹波优势,所以降低CL的Fs会令整体损耗大幅减少,且电流纹波增加不会对其造成太大的影响。DL解决方案的效率也随着Fs的降低而提高,但速度会越来越慢,因为过大的电流纹波会使波形的均方根值变差,并导致磁芯损耗和ACR损耗呈非线性增加。因此,与DL相比,CL具有明显的效率优势:峰值时为1%,满载时为0.5%。相关热性能也有所改善。

图6. 135 A负载阶跃下,VIN = 12 V、VO = 0.9 V时,8相DL = 100 nH (600 kHz)和2× CL = 4× 100 nH (400 kHz)的瞬态性能。电路板相同,Co相同,条件相同。

图7. 8相DL = 100 nH(虚线)和采用统一封装策略的2× CL = 4× 100 nH(实线)设计的测量效率比较,VIN = 12 V,VO = 0.9 V。
根据统一封装(CF)策略,用于替代分立电感的CL解决方案在设计时采用相同的占用空间和总体尺寸,可作为12 V至~1 V应用的4相构建模块。通过利用CL的优势,效率得到显著提升,同时保留了瞬态性能。实验结果证实了基于FOM的设计和优化策略。
已实现的整体性能提升说明了ADI IP在耦合电感方面的优势。
1 Alexandr Ikriannikov,“耦合电感的基础知识和优势”,Maxim Integrated,2021年8月。
2 Alexandr Ikriannikov和Di Yao,“Addressing Core Loss in CoupledInductors”,Electronic Design News,2016年12月。
3 Aaron M. Schultz和Charles R. Sullivan,“Voltage Converter withCoupled Inductive Windings, and Associated Methods”,美国专利6,362,986,2001年3月。
4 Jieli Li,“Coupled Inductor Design in DC-DC Converters”,硕士论文,达特茅斯学院,2002年。
5 Pit-Leong Wong、Peng Xu、Bo Yang和Fred C. Lee,“PerformanceImprovements of Interleaving VRMs with Coupling Inductors”,《IEEE电源电子会刊》,第16卷第4期,2001年7月。
6 Yan Dong,“Investigation of Multiphase Coupled-Inductor Buck Converters in Point-of-Load Applications”,博士论文,弗吉尼亚理工学院暨州立大学,2009年。
7 Alexandr Ikriannikov,“Coupled Inductor with Improved LeakageInductance Control”,美国专利8,102,233,2009年8月。
8 Alexandr Ikriannikov,“Evolution and Comparison of Magnetics for the Multiphase DC-DC Applications”,IEEE应用电源电子大会的行业分会,2023年3月。
9 Alexandr Ikriannikov和Di Yao,“Converters with MultiphaseMagnetics:TLVR vs. CL and the Novel Optimized Structure”,PCIM Europe 2023;电源电子、智能运动、可再生能源和能源管理的国际展览和会议,2023年5月。
10 Alexandr Ikriannikov和B. Xiao,“Generalized FOM for MultiphaseConverters with Inductors”,IEEE能源转换大会暨博览会(ECCE),2023年10月。











